红外测温
红外测温简介
红外测温是一种基于物体发射的红外辐射来测量其表面温度的非接触式测温技术。所有物体在绝对零度以上都会发射红外辐射,其辐射强度与物体的温度成正比。红外测温技术通过检测物体发射的红外辐射,利用Planck's law(普朗克定律)和Stefan-Boltzmann law(斯蒂芬-玻尔兹曼定律),计算出物体的表面温度。该技术广泛应用于工业制造、医疗诊断、环境监测、食品安全等领域,具有快速、非接触、高精度等优点。

红外测温——单色测温简介
单色测温是一种基于物体热辐射特性的非接触式测温方法,通过检测物体在某一特定波长下的辐射强度来测量温度。适用于大多数常规测温场景,尤其是在物体发射率已知且稳定的情况下,能够提供较高的测温精度。
单色测温仪主要由光学系统(透镜、滤色片等)、探测器(Si、InGaAs、热电堆等)、信号处理单元和显示单元组成。光学系统用于收集和聚焦辐射光,通过滤色片选择特定波长的辐射光,探测器将光信号转换为电信号,信号处理单元进行计算并输出温度值。
红外测温——单色测温原理
单色测温的基本原理是基于Planck's law(普朗克定律),即物体在某一特定波长下的辐射强度与其温度成正比。测温仪通过光学系统收集物体发射的辐射光,经过滤色片选择特定波长的辐射光,再由探测器将光信号转换为电信号,最终通过计算得到物体的温度。
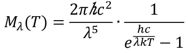
Planck's law(普朗克定律):

在实际应用中,通常会通过实验标定,得到一个更简单的经验公式:
T=k*I+b
其中, k和b是通过实验标定得到的系数,I是测得的辐射强度。

红外测温——双色测温简介
双色测温技术是一种先进的非接触式温度测量方法,特别适用于高温、复杂环境或难以直接接触的目标。其核心是利用三明治结构的双色探测器,通过测量两个相邻波长的辐射强度比值来确定温度。这种方法不仅独立于目标的发射率,还能有效克服视野中的污染物、移动目标、大气干扰等问题。因此,双色测温技术在工业生产、冶金、化工、玻璃加工等领域得到了广泛应用。
红外测温——双色测温原理
双色测温的原理基于物体在两个不同波长的辐射强度比值与温度之间的关系。具体来说,双色探测器通过两层相同或不同材料的探测器分别检测两个波段的辐射能量。例如,常见的组合包括硅-硅(Si-Si)、硅-铟镓砷(Si-InGaAs)、铟镓砷-铟镓砷(InGaAs -InGaAs)、硅-硒化铅(Si-PbS)等。顶层探测器不仅具备正常的检测功能,还可以作为带通滤色片,使底层探测器能够检测到特定波段的辐射光。通过计算两个波段的辐射强度比值,并结合标准黑体辐射曲线,可以准确测量目标温度。
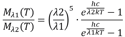
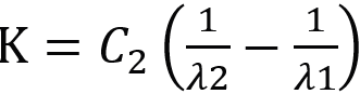
双色测温公式:

在实际应用中,通常将双色测温公式进行进一步简化,通过测量两个波长下的辐射强度比 I1/ I2.结合已知的常数K和C,直接计算出物体的温度:

其中,
,
(第二辐射常数),
, T为目标温度。

红外测温——双色测温流程

双色测温结构原理图
红外测温——多光谱测温简介
多光谱测温是一种通过检测物体在多个波长下的红外辐射强度,结合发射率模型和数学模型反演真实温度的方法。与单色和双色测温相比,多光谱测温能够提供更丰富的温度信息,广泛应用于工业生产和复杂环境下的高精度测温。
红外测温——多光谱测温原理
多光谱测温的基本原理是通过分光系统将目标辐射分解为不同波长的光谱,利用探测器阵列同步获取各通道辐射强度,结合标定数据与自适应算法求解目标的发射率特性及真实温度。
多光谱测温公式:

其中,
分别是物体在多个波长下的辐射出射度,f是多通道数据拟合算法。
红外测温——多光谱测温流程
多光谱测温仪主要由光学系统、探测器阵列(Si、InGaAs等)、信号处理单元组成。



推荐型号
50%截止波长>1.65um, 典型峰值响应度1.05A/W, 极佳的温度稳定性, 减小边缘效应
50%截止波长>1.65um, 典型峰值响应度1.05A/W, 极佳的温度稳定性, 减小边缘效应
50%截止波长>1.65um, 典型峰值响应度1.05A/W, 极佳的温度稳定性, 减小边缘效应
50%截止波长>2.45um, 典型峰值响应度1.45A/W, 极佳的温度稳定性, 减小边缘效应
50%截止波长>2.45um, 典型峰值响应度1.45A/W, 极佳的温度稳定性, 减小边缘效应
高灵敏度,,低噪声,,易操作,12V直流单电压供电, 紧凑型,,温度补偿电路, 用户可调增益,
高灵敏度,,低噪声,,易操作,12V直流单电压供电, 紧凑型,,温度补偿电路, 用户可调增益,












