水质分析
水质分析简介
水质分析是对水体中各种物理、化学和生物指标进行检测与评估的过程。其目的是评估水体的污染程度、判断水源是否适合饮用或其他用途,确保环境与生态系统的健康。水质分析通常包括对水的COD值、水中油、叶绿素、浊度、营养盐(如氨氮)等的测定。通过对这些指标的分析,能够揭示水体污染的来源与类型,以及水质变化趋势。

在实际应用中,水质分析广泛用于饮用水源监测、工业废水排放控制、农业灌溉水质监测以及自然水体的生态保护等领域。现代水质分析技术不断发展,采用了如光谱分析、电化学分析、质谱分析等先进手段,以提高检测的准确性和灵敏度。通过及时有效的水质分析,不仅能保障人类健康,还能为水资源的可持续管理和保护提供科学依据。
水质分析——分光光度法测量原理
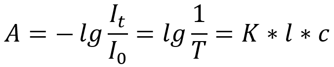
分光光度法是一种常用的分析技术,利用物质对不同波长光的吸收特性来进行定量分析。比尔-朗伯定律(Beer-Lambert Law)是分光光度法的基本定律,描述了物质对某一波长光吸收的强弱与吸光物质的浓度及其液层厚度间的关系。
物理意义是是当一束平行单色光垂直通过某一均匀非散射的吸光物质时,其吸光度与吸光物质的浓度及吸收层厚度成正比,而与透光度成反相关。表达式如下:


(其中A为吸光度,I0为入射光强度,It为透射光强度,T为透射比,K为吸收系数,l为吸收介质的厚度,c为吸光物质的浓度)
水质分析——光散射法测量原理
浊度测量虽然不是直接测量悬浮颗粒的浓度,而是测量由颗粒物的存在引起光散射效应的程度,但可间接表示气体或溶液中悬浮颗粒物含量。浊度仪的主流测量方法为光散射法。浊度仪采用激光器/LED/卤钨灯作为光源照射样品,样品中的悬浮颗粒会产生与入射光束散射光后通过探测器检测。

水质分析——荧光光谱法测量原理
荧光光谱法用于水质检测的原理是具有芳香环或多个共轭双键的有机化合物分子在受到光源激发后会发生激发跃迁,转变为激发态,激发态分子会自发地通过辐射或非辐射跃迁回到基态。在这个过程中不同物质的分子会形成不同的荧光光谱,通过对得到的荧光光谱进行分析即可获得物质浓度等信息。荧光法具有灵敏度高、检测性好、灵敏快捷等优点。

水质分析流程图——COD在线分析仪

水质分析流程图——氨氮在线分析仪

水质分析流程图——浊度仪

水质分析流程图——水中油在线分析仪

水质分析——叶绿素在线分析仪

推荐型号
1.灯丝位置精度高,可以提供不需要光轴调整的高精度的灯泡 2.从灯丝设计到封入气体等,可以根据客户提出的方案进行设计 3.从紫外350nm到3000nm近红外区域,都能提供合适的产品 4.小批量的特殊定制产品,没有起订量的要求
倒置系列: 100%内部量化宽松 超高RSH 平面漫射系列: 红外抑制 高速响应 高稳定性 出色的紫外线响应
倒置系列: 100%内部量化宽松 超高RSH 平面漫射系列: 红外抑制 高速响应 高稳定性 出色的紫外线响应
超低噪音 高分流电阻 宽动态范围 蓝光增强










